ظرفیت فن کویل چیست؟ ارتباط آن با هواساز، چیلر و سایر تجهیزات تهویه مطبوع
ظرفیت فن کویل به توانایی این دستگاه در تنظیم دمای محیط از طریق تامین سرمایش یا گرمایش اشاره دارد. این ظرفیت معمولاً بر اساس بار حرارتی و بار برودتی ساختمان تعیین میشود و به دو عامل اصلی بستگی دارد:
- سرعت جریان هوا (CFM): حجم هوایی که فن کویل میتواند در یک دقیقه جابجا کند.
- توان حرارتی یا برودتی (BTU/hr): میزان انرژی گرمایی که فن کویل میتواند جذب یا دفع کند.
فن کویلها در ظرفیتهای مختلف طراحی میشوند تا متناسب با متراژ و نوع فضای مورد استفاده باشند؛ از واحدهای کوچک برای اتاقهای مسکونی گرفته تا مدلهای بزرگتر برای فضاهای تجاری و صنعتی. فن کویلها معمولاً در سیستمهای تهویه مطبوع به همراه تجهیزات دیگری مانند چیلرها، هواسازها و پمپها کار میکنند. این هماهنگی به نحوی است که هر بخش وظیفهای خاص را بر عهده دارد. درک مفهوم ظرفیت فن کویل و چگونگی محاسبه آن، برای بهینهسازی عملکرد کل سیستم و هماهنگی میان تجهیزات مختلف، اهمیت ویژهای دارد. این پارامتر تعیینکننده توانایی فن کویل در تأمین سرمایش یا گرمایش مورد نیاز فضا است. انتخاب ظرفیت مناسب، برای جلوگیری از مشکلاتی مانند ناکارآمدی سیستم یا هدررفت انرژی ضروری است.
CFM و نقش آن در ظرفیت فن کویل
CFM (Cubic Feet per Minute) به معنای فوت مکعب در دقیقه، واحدی است که سرعت جریان هوا را اندازهگیری میکند. این مقدار نشان میدهد که یک فن کویل چه حجمی از هوا را در یک دقیقه از میان کویلها عبور میدهد.
CFM ارتباط مستقیمی با ظرفیت حرارتی و برودتی فن کویل دارد، چرا که:
- سرمایش و گرمایش موثر: افزایش یا کاهش CFM میتواند مستقیماً بر توانایی فن کویل در تامین دمای مناسب تأثیر بگذارد.
- کیفیت هوای داخلی: تنظیم جریان هوای مناسب تضمین میکند که هوای داخلی نه تنها به دمای مطلوب برسد، بلکه تهویه کافی نیز صورت گیرد.
چرا محاسبه CFM مهم است؟
محاسبه دقیق CFM برای طراحی و انتخاب فن کویل حیاتی است، زیرا:
- کارایی سیستم تهویه: اگر CFM کمتر از نیاز محیط باشد، فن کویل نمیتواند هوای کافی برای ایجاد سرمایش یا گرمایش مورد نظر تامین کند. بالعکس، CFM بیش از حد میتواند موجب افزایش صدا، مصرف انرژی و کاهش راحتی حرارتی شود.
- تطابق با فضای مورد استفاده: هر محیطی بسته به متراژ، تعداد افراد حاضر و شرایط اقلیمی، به ظرفیت خاصی نیاز دارد.
- پیشگیری از هزینههای اضافی: انتخاب صحیح ظرفیت فن کویل با توجه به CFM باعث جلوگیری از اتلاف انرژی و افزایش عمر مفید تجهیزات میشود.
ارتباط CFM با سایر پارامترها
CFM تنها یکی از عوامل تعیین ظرفیت فن کویل است، اما به شدت به متغیرهای دیگر وابسته است:
- بار سرمایشی و گرمایشی محیط: نیاز محیط به سرمایش یا گرمایش تعیین میکند که فن کویل باید چه میزان هوا را جابهجا کند.
- دمای ورودی و خروجی: اختلاف دمای هوای ورودی و خروجی نشاندهنده توان واقعی دستگاه است.
- افت فشار در سیستم کانالکشی: افت فشار در کانالها میتواند CFM واقعی را کاهش دهد و باید در محاسبات لحاظ شود.
CFM چیست و چه تأثیری بر عملکرد فن کویل دارد؟
تأمین سرمایش و گرمایش مناسب
CFM مستقیماً بر میزان سرمایش یا گرمایش قابل ارائه توسط فن کویل تاثیر میگذارد. اگر CFM دستگاه با نیازهای سرمایشی یا گرمایشی محیط هماهنگ نباشد:- CFM کمتر از نیاز محیط: باعث میشود هوای کافی برای خنک کردن یا گرم کردن فضای مورد نظر جابجا نشود، در نتیجه فن کویل نمیتواند به دمای مطلوب برسد.
- CFM بیشتر از نیاز محیط: باعث میشود دستگاه بیش از حد کار کند، صدای بیشتری تولید شود و انرژی بیشتری مصرف شود.
توزیع یکنواخت دما در محیط
CFM مناسب تضمین میکند که هوا در تمام بخشهای محیط به طور یکنواخت توزیع شود. اگر جریان هوا به اندازه کافی نباشد، برخی نقاط ممکن است بیش از حد سرد یا گرم شوند، در حالی که نقاط دیگر هنوز نیاز به تنظیم دما دارند.کیفیت هوای داخلی (IAQ)
CFM نه تنها بر تنظیم دما تأثیر میگذارد، بلکه بر کیفیت هوای داخلی (Indoor Air Quality) نیز موثر است. جریان هوای مناسب:- به گردش هوا و تخلیه هوای کهنه کمک میکند.
- از تجمع رطوبت اضافی در محیط جلوگیری میکند، که میتواند موجب رشد قارچ و کپک شود.
سرعت واکنش سیستم به تغییرات دما
CFM بالاتر به معنای جابجایی سریعتر هواست، که میتواند باعث شود دستگاه در واکنش به تغییرات دما عملکرد سریعتری داشته باشد. در مقابل، CFM پایینتر ممکن است منجر به کندی واکنش سیستم شود.سطح صدای دستگاه
CFM بیش از حد بالا معمولاً باعث افزایش صدای تولیدی دستگاه میشود، زیرا فن با سرعت بیشتری کار میکند. بنابراین، انتخاب CFM مناسب نه تنها بر عملکرد بلکه بر آرامش صوتی محیط نیز تاثیرگذار است.
چگونه CFM مناسب را محاسبه کنیم؟
CFM مناسب به عوامل زیر بستگی دارد:
- متراژ فضا: هرچه مساحت بزرگتر باشد، به CFM بیشتری نیاز است.
- ارتفاع سقف: فضاهایی با سقف بلند نیاز به CFM بالاتری دارند.
- نوع کاربری محیط: اتاقهای مسکونی، اداری و صنعتی نیازهای متفاوتی دارند. برای مثال، فضاهای پرجمعیت (مانند سالنهای کنفرانس) معمولاً به جریان هوای بیشتری نیاز دارند.
- بار سرمایشی یا گرمایشی: میزان نیاز محیط به کاهش یا افزایش دما تعیینکننده اصلی CFM است.
ارتباط بین CFM و سایر ویژگیهای فن کویل
- توان سرمایشی و گرمایشی (BTU/hr): با افزایش CFM، ظرفیت حرارتی یا برودتی دستگاه نیز افزایش مییابد. با این حال، باید توجه کرد که افزایش بیرویه CFM ممکن است باعث کاهش زمان تماس هوا با کویلها و در نتیجه کاهش تبادل حرارت شود.
- سرعت فن: تنظیم سرعت فن در فن کویل، مستقیماً CFM را کنترل میکند. بیشتر فن کویلها قابلیت تنظیم چند سرعت دارند تا بتوانند در شرایط مختلف بهینه عمل کنند.
- افت فشار: سیستمهای دارای کانالکشی طولانی ممکن است افت فشار بیشتری داشته باشند که میتواند CFM واقعی را کاهش دهد.
اهمیت تنظیم دقیق CFM در طراحی سیستمهای تهویه مطبوع
یک فن کویل با CFM مناسب:
- انرژی را بهینه مصرف میکند.
- عمر مفید دستگاه را افزایش میدهد.
- دمای محیط را به طور یکنواخت تنظیم میکند.
- صدای کمتری تولید میکند و محیطی آرامتر ایجاد میکند.
فرمولهای محاسبه CFM برای فن کویل
محاسبه CFM (حجم هوای جابجاشده بر حسب فوت مکعب در دقیقه) یکی از مهمترین مراحل در طراحی و انتخاب فن کویل است. این محاسبه به شما کمک میکند تا دستگاهی را انتخاب کنید که متناسب با نیازهای سرمایشی و گرمایشی فضای موردنظر باشد. در این بخش به معرفی فرمولهای استاندارد و نحوه استفاده از آنها میپردازیم.
فرمول عمومی برای محاسبه CFM بر اساس بار سرمایشی یا گرمایشی محیط به صورت زیر است:

فرض کنید بار سرمایشی یک فضا برابر با 12,000 BTU/hr (یک تن تبرید) و اختلاف دمای هوای ورودی و خروجی 20°F باشد.
با جایگذاری در فرمول:

بنابراین، برای این فضا به فن کویلی با CFM حدود 556 فوت مکعب در دقیقه نیاز است.
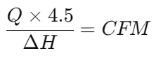
محاسبه CFM برای بار برودتی یا سرمایشی کل
برای محاسبه CFM در حالت بار سرمایشی کل، میتوان از این فرمول استفاده کرد:

- Q: بار سرمایشی کل (بر حسب BTU/hr).
- 4.5: نرخ جریان جرمی هوا (lb/min).
- ΔH: اختلاف آنتالپی هوای ورودی و خروجی (بر حسب BTU/lb).
این فرمول بیشتر در شرایطی که محاسبه بر اساس آنتالپی صورت میگیرد (مانند سیستمهای با رطوبت بالا) استفاده میشود.
محاسبه CFM برای بار گرمایشی
فرمول محاسبه CFM در حالت گرمایشی مشابه فرمول سرمایشی است، اما به جای بار سرمایشی از بار گرمایشی استفاده میشود. بار گرمایشی معمولاً در مناطقی که به گرمایش بیشتری نیاز است، محاسبه میشود:

- Q: بار گرمایشی (BTU/hr).
- ΔT: اختلاف دمای هوای ورودی و خروجی در حالت گرمایش.
عوامل موثر در محاسبه دقیق CFM
برای اطمینان از صحت محاسبات، باید عوامل زیر را نیز در نظر بگیرید:
- افت فشار در کانالها: افت فشار میتواند جریان هوای واقعی را کاهش دهد.
- رطوبت نسبی: در مناطق با رطوبت بالا، محاسبات باید شامل اثرات رطوبت نیز باشد (مانند استفاده از آنتالپی).
- شرایط محیطی و اقلیمی: دمای بیرون، دمای داخل و تغییرات فصلی بر بار حرارتی و در نتیجه بر مقدار CFM تأثیر میگذارند.
- تجهیزات جانبی: وجود فیلترها، کویلها یا دمپرها میتواند بر جریان هوای واقعی تاثیر بگذارد.
استفاده از نرمافزارها برای محاسبه دقیق CFM
برای تسهیل محاسبات، میتوان از نرمافزارهای تخصصی مانند Carrier HAP، Elite CHVAC یا نرمافزارهای مشابه استفاده کرد. این نرمافزارها به صورت خودکار بارهای سرمایشی و گرمایشی را محاسبه کرده و مقدار CFM مورد نیاز را ارائه میدهند.
عوامل موثر بر انتخاب ظرفیت مناسب فن کویل
انتخاب ظرفیت مناسب فن کویل (CFM) برای هر فضا نیازمند بررسی دقیق چندین عامل کلیدی است. این عوامل تعیین میکنند که فن کویل بتواند نیازهای سرمایشی و گرمایشی محیط را برآورده کند، انرژی بهینه مصرف شود و راحتی حرارتی به حداکثر برسد. در این بخش، مهمترین عوامل موثر بر این تصمیمگیری را بررسی میکنیم.
1. متراژ و حجم فضا
یکی از مهمترین عوامل تعیینکننده ظرفیت فن کویل، ابعاد فضا است.
- مساحت (m²): هرچه مساحت بیشتر باشد، به CFM بالاتری نیاز دارید.
- ارتفاع سقف (m): ارتفاع سقف تأثیر مستقیمی بر حجم هوای مورد نیاز دارد. فضاهای با سقف بلند معمولاً نیازمند ظرفیت بیشتری هستند.
مثال:
- برای یک فضای 50 متر مربعی با ارتفاع سقف استاندارد (3 متر)، ممکن است به CFM حدود 400 تا 600 نیاز باشد.
- در فضاهای تجاری با سقف بلند (5 متر یا بیشتر)، این مقدار میتواند به طور قابل توجهی افزایش یابد.
2. نوع و کاربری فضا
کاربری فضا تعیین میکند که چه میزان تبادل حرارتی در آن صورت میگیرد:
- مسکونی: نیاز به ظرفیت کمتری دارند، زیرا تعداد افراد و تجهیزات حرارتی محدود است.
- اداری: به ظرفیت متوسط نیاز دارند، زیرا تعداد افراد و تجهیزات الکترونیکی معمولاً بیشتر از محیطهای مسکونی است.
- تجاری و صنعتی: به ظرفیت بالاتری نیاز دارند، به ویژه در مکانهایی با جمعیت زیاد (مانند فروشگاهها) یا تجهیزات پرمصرف (مانند کارگاهها و کارخانهها).
3. شرایط اقلیمی و آب و هوایی
موقعیت جغرافیایی و شرایط آب و هوایی منطقه تأثیر زیادی بر نیاز سرمایشی و گرمایشی دارد:
- مناطق گرم و خشک: به فن کویلهایی با ظرفیت سرمایشی بالا نیاز دارند.
- مناطق سردسیر: بیشتر به ظرفیت گرمایشی فن کویل توجه میشود.
- مناطق مرطوب: نیازمند دستگاههایی هستند که بتوانند رطوبت هوا را نیز مدیریت کنند.
4. بارهای سرمایشی و گرمایشی فضا
بار حرارتی یا برودتی (Heat Load) محیط یکی از عوامل کلیدی در تعیین ظرفیت فن کویل است. این بار تحت تأثیر عوامل زیر است:
- عایقبندی ساختمان: ساختمانهایی با عایقبندی مناسب، نیاز به ظرفیت کمتری دارند.
- پنجرهها و جهتگیری ساختمان: پنجرههای بزرگ یا ساختمانهایی که در معرض تابش مستقیم آفتاب هستند، بار سرمایشی بیشتری ایجاد میکنند.
- تعداد افراد حاضر: هر فرد به طور متوسط 250 تا 400 BTU/hr گرما تولید میکند که باید در محاسبات لحاظ شود.
- تجهیزات گرمازا: مانند لامپهای روشنایی، کامپیوترها و سایر وسایل برقی.
5. افت فشار در کانالها و مسیر جریان هوا
اگر فن کویل به کانال متصل باشد، افت فشار در کانالها میتواند بر عملکرد آن تأثیر بگذارد. عواملی که میتوانند باعث افت فشار شوند عبارتند از:
- طول کانالها
- تعداد خمها و اتصالات
- قطر کانالها
برای جبران افت فشار، ممکن است به فن کویلی با ظرفیت بالاتر نیاز داشته باشید.
6. کیفیت هوای داخل (IAQ)
در فضاهایی که کیفیت هوای داخلی اهمیت زیادی دارد (مانند بیمارستانها یا ساختمانهای سبز)، ممکن است به فن کویلهایی با ظرفیت CFM بالاتر برای تأمین هوای تازه نیاز باشد. علاوه بر این، وجود فیلترهای با کارایی بالا (HEPA) ممکن است جریان هوا را کاهش داده و نیاز به ظرفیت بیشتری ایجاد کند.
7. سطح صدای دستگاه
در مکانهایی که آرامش صوتی اهمیت دارد (مانند هتلها یا منازل مسکونی)، سطح صدای فن کویل باید در نظر گرفته شود. فن کویلهایی با ظرفیت بالاتر معمولاً صدای بیشتری تولید میکنند، بنابراین باید تعادل بین ظرفیت و سطح صدا برقرار شود.
8. نوع فن کویل و طراحی آن
فن کویلها در انواع مختلفی موجود هستند که هر کدام برای کاربردهای خاصی طراحی شدهاند:
- فن کویل دیواری: مناسب فضاهای کوچک.
- فن کویل زمینی: ظرفیت بیشتری دارد و برای فضاهای بزرگتر مناسب است.
- فن کویل کانالی: مناسب برای فضاهایی که توزیع هوای یکنواخت نیاز است.
نوع فن کویل انتخابی باید با نیازهای ظرفیت و شرایط نصب هماهنگ باشد.
9. تطبیق با سیستمهای دیگر
فن کویلها بخشی از یک سیستم جامع تهویه مطبوع هستند. هنگام انتخاب ظرفیت، باید به تطبیق آن با اجزای دیگر سیستم (مانند چیلر یا بویلر) توجه کنید. اگر فن کویل با توان واقعی چیلر یا بویلر سازگار نباشد، عملکرد کل سیستم مختل میشود.
نقش نرمافزارهای مهندسی در محاسبه و انتخاب ظرفیت فن کویل
استفاده از نرمافزارهای مهندسی در محاسبه و انتخاب ظرفیت مناسب فن کویل (CFM) یکی از راهکارهای حرفهای و کارآمد در صنعت تهویه مطبوع است. این نرمافزارها به متخصصان کمک میکنند تا با سرعت و دقت بیشتری طراحی سیستمهای تهویه را انجام دهند و از خطاهای محاسباتی جلوگیری کنند. در این بخش، به نقش و اهمیت این ابزارها و نحوه استفاده از آنها میپردازیم.
چرا از نرمافزارهای مهندسی استفاده کنیم؟
محاسبه دستی ظرفیت فن کویل، بهخصوص در پروژههای بزرگ یا پیچیده، میتواند زمانبر و همراه با احتمال خطا باشد. نرمافزارهای مهندسی مزایای زیر را ارائه میدهند:
- دقت بالا: نرمافزارها با استفاده از الگوریتمهای دقیق، خطاهای انسانی را به حداقل میرسانند.
- صرفهجویی در زمان: انجام محاسبات پیچیده در چند دقیقه.
- تحلیل جامع: بررسی تمامی جنبههای سیستم از جمله بار حرارتی، شرایط اقلیمی، و کیفیت هوا.
- مقایسه گزینهها: امکان مقایسه چندین مدل فن کویل و انتخاب بهترین گزینه.
ویژگیهای کلیدی نرمافزارهای تخصصی تهویه مطبوع
- محاسبه بار حرارتی و برودتی: نرمافزارهایی مانند Carrier HAP و Elite CHVAC میتوانند بارهای سرمایشی و گرمایشی محیط را بر اساس شرایط واقعی محاسبه کنند.
- پیشبینی افت فشار: نرمافزارها میتوانند افت فشار در کانالها و مسیرهای هوا را محاسبه کرده و این عامل را در انتخاب ظرفیت لحاظ کنند.
- مدلسازی شرایط محیطی: این ابزارها قادرند دما، رطوبت، و جریان هوا را برای شرایط مختلف اقلیمی شبیهسازی کنند و بر اساس آن، ظرفیت مناسب فن کویل را پیشنهاد دهند.
- ایجاد گزارشهای حرفهای: نرمافزارها میتوانند گزارشهایی دقیق و حرفهای ارائه دهند که برای ارائه به کارفرمایان و پیمانکاران مفید است.
برترین نرمافزارهای مهندسی برای محاسبه ظرفیت فن کویل
- Carrier HAP: یکی از شناختهشدهترین نرمافزارها در صنعت تهویه که برای محاسبه بار حرارتی و انتخاب تجهیزات کاربرد دارد.
- Elite CHVAC: نرمافزاری تخصصی برای طراحی سیستمهای تهویه مطبوع با دقت بالا.
- TRACE 700: محصولی از شرکت Trane که برای تحلیل بارهای انرژی و انتخاب تجهیزات مناسب کاربرد دارد.
- CoolCalc: مناسب برای محاسبات سریع و ساده در پروژههای کوچک و متوسط.
چگونه از این نرمافزارها استفاده کنیم؟
برای استفاده از نرمافزارهای مهندسی، باید اطلاعات زیر را بهصورت دقیق وارد کنید:
- ابعاد و متراژ فضا: شامل طول، عرض، ارتفاع، و مساحت کلی.
- نوع کاربری فضا: مانند مسکونی، تجاری، یا صنعتی.
- شرایط اقلیمی: دما و رطوبت در فصول مختلف سال.
- مشخصات ساختمان: مانند جنس دیوارها، نوع پنجرهها، و میزان عایقبندی.
- بارهای حرارتی اضافی: شامل تجهیزات الکتریکی، روشنایی، و تعداد افراد حاضر در فضا.
پس از وارد کردن این اطلاعات، نرمافزار ظرفیت مناسب فن کویل را محاسبه کرده و مدلهایی را که با نیازهای پروژه همخوانی دارند پیشنهاد میکند.
نکاتی برای انتخاب نرمافزار مناسب
هنگام انتخاب یک نرمافزار مهندسی، به موارد زیر توجه کنید:
- مقیاس پروژه: برخی نرمافزارها برای پروژههای بزرگ و برخی دیگر برای پروژههای کوچک مناسبتر هستند.
- هزینه و بودجه: قیمت نرمافزارها متفاوت است؛ برخی رایگان و برخی با هزینه بالا در دسترس هستند.
- رابط کاربری: نرمافزاری را انتخاب کنید که رابط کاربری ساده و قابلفهم داشته باشد.
- پشتیبانی و بهروزرسانی: نرمافزارهایی که پشتیبانی مناسب و بهروزرسانیهای منظم دارند، گزینههای بهتری هستند.
چالشها و اشتباهات رایج در محاسبه ظرفیت فن کویل
محاسبه ظرفیت مناسب فن کویل (CFM) فرآیندی حساس و چندوجهی است که دقت بالایی را میطلبد. در این مسیر، چالشها و اشتباهات مختلفی ممکن است رخ دهد که میتوانند بر عملکرد سیستم و بازدهی آن تأثیر منفی بگذارند. در ادامه به بررسی رایجترین چالشها و اشتباهات و راهکارهای پیشگیری از آنها میپردازیم.
1. عدم توجه به بار واقعی حرارتی و برودتی
یکی از رایجترین اشتباهات، برآورد اشتباه بارهای سرمایشی و گرمایشی فضا است. اگر این محاسبات کمتر یا بیشتر از حد واقعی باشد، ممکن است موارد زیر رخ دهد:
- ظرفیت کمتر از نیاز: فن کویل قادر به تأمین سرمایش یا گرمایش کافی نخواهد بود.
- ظرفیت بیشتر از نیاز: موجب هدررفت انرژی و افزایش هزینهها میشود.
راهکار: استفاده از محاسبات دقیق با در نظر گرفتن تمامی عوامل مؤثر، از جمله تعداد افراد حاضر، تجهیزات حرارتی، و تابش خورشید.
2. نادیده گرفتن شرایط اقلیمی
شرایط آب و هوایی منطقه نقش بسیار مهمی در تعیین ظرفیت فن کویل دارد. عدم توجه به این موضوع میتواند به انتخاب سیستمی نامناسب منجر شود.
راهکار: همواره از دادههای اقلیمی دقیق منطقه (مانند دما و رطوبت) در محاسبات استفاده کنید.
3. عدم در نظر گرفتن افت فشار در سیستم
در فضاهایی که از کانالکشی برای توزیع هوا استفاده میشود، افت فشار در مسیر جریان هوا میتواند بر عملکرد فن کویل تأثیر بگذارد. بسیاری از افراد این عامل را نادیده میگیرند و سیستم مناسبی انتخاب نمیکنند.
راهکار: محاسبه دقیق افت فشار با در نظر گرفتن طول کانالها، تعداد اتصالات و زانوییها، و نوع مواد کانال.
4. استفاده از ضرایب ایمنی بیش از حد
هرچند استفاده از ضرایب ایمنی در محاسبات ضروری است، اما در نظر گرفتن ضرایب غیرمنطقی میتواند منجر به انتخاب سیستمی بسیار بزرگتر از نیاز واقعی شود.
راهکار: تعیین ضرایب ایمنی بر اساس استانداردهای صنعتی و اجتناب از برآوردهای بیش از حد.
5. نادیده گرفتن تأثیر عایقبندی ساختمان
عایقبندی حرارتی و کیفیت ساخت تأثیر زیادی بر میزان بار حرارتی و برودتی دارند. عدم توجه به این موضوع میتواند به انتخاب فن کویل اشتباه منجر شود.
راهکار: بررسی دقیق عایقبندی دیوارها، سقف، و پنجرهها و لحاظ کردن آنها در محاسبات.
6. انتخاب اشتباه نوع فن کویل
نوع فن کویل (دیواری، زمینی، کانالی، یا سقفی) باید متناسب با کاربری فضا انتخاب شود. عدم توجه به این موضوع ممکن است به مشکلاتی مانند توزیع نامناسب هوا یا اشغال فضای نامناسب منجر شود.
راهکار: با توجه به ابعاد و کاربری فضا، نوع فن کویل مناسب را انتخاب کنید.
7. نادیده گرفتن نیازهای خاص فضا
در برخی فضاها، نیازهای خاصی مانند کاهش رطوبت یا تأمین هوای تازه باید در نظر گرفته شود. نادیده گرفتن این موارد ممکن است عملکرد کلی سیستم را مختل کند.
راهکار: بررسی نیازهای خاص هر پروژه و اطمینان از قابلیت فن کویل در تأمین این نیازها.
8. عدم استفاده از نرمافزارهای محاسباتی
اعتماد بیش از حد به محاسبات دستی، بهویژه در پروژههای پیچیده، میتواند منجر به خطاهای جدی شود.
راهکار: استفاده از نرمافزارهای معتبر مهندسی مانند Carrier HAP یا Elite CHVAC برای محاسبات دقیق.
9. توجه نکردن به سطح صدای دستگاه
در فضاهایی مانند هتلها یا دفاتر، صدای تولیدی فن کویل میتواند تأثیر منفی بر راحتی افراد بگذارد. انتخاب سیستمی که سطح صدای آن بیش از حد باشد، یک اشتباه رایج است.
راهکار: انتخاب فن کویلی با سطح صدای مناسب با توجه به کاربری فضا.
10. عدم هماهنگی با سایر اجزای سیستم تهویه
فن کویلها بخشی از یک سیستم جامع هستند. عدم توجه به هماهنگی با چیلر، بویلر یا سیستمهای کنترل مرکزی میتواند منجر به عملکرد ضعیف یا ناسازگاری در سیستم شود.
راهکار: اطمینان از هماهنگی ظرفیت فن کویل با توان و مشخصات سایر تجهیزات.
نکات کلیدی برای بهینهسازی مصرف انرژی در انتخاب و استفاده از فن کویل
بهینهسازی مصرف انرژی در سیستمهای تهویه مطبوع، از جمله فن کویلها، علاوه بر کاهش هزینههای انرژی، تأثیر بسزایی در حفظ محیط زیست دارد. انتخاب صحیح ظرفیت و استفاده بهینه از فن کویلها میتواند عملکرد سیستم را بهبود بخشیده و مصرف انرژی را به حداقل برساند. در ادامه به مهمترین نکات برای بهینهسازی مصرف انرژی در فن کویلها میپردازیم.
1. انتخاب ظرفیت بهینه
یکی از مهمترین عوامل در کاهش مصرف انرژی، انتخاب ظرفیت مناسب فن کویل است. اگر ظرفیت دستگاه بیش از نیاز باشد، انرژی به هدر میرود و اگر کمتر از نیاز باشد، سیستم باید بهطور مداوم کار کند که مصرف انرژی را افزایش میدهد.
راهکار: محاسبات دقیق بار سرمایشی و گرمایشی انجام دهید و از ظرفیتهای واقعی استفاده کنید.
2. استفاده از فنهای کممصرف
نوع فن استفادهشده در فن کویل تأثیر مستقیم بر مصرف انرژی دارد. فنهای با راندمان بالا یا فنهای EC (Electronic Commutated) مصرف انرژی کمتری دارند و عملکرد بهتری ارائه میدهند.
راهکار: هنگام خرید فن کویل، دستگاههایی با فنهای کممصرف را انتخاب کنید.
3. کنترل دور فن
فن کویلهایی که قابلیت کنترل دور فن دارند، امکان تنظیم جریان هوا بر اساس نیاز واقعی فضا را فراهم میکنند. این ویژگی نهتنها راحتی بیشتری ایجاد میکند بلکه به کاهش مصرف انرژی نیز کمک میکند.
راهکار: از فن کویلهایی با قابلیت کنترل دور استفاده کنید و تنظیمات را بر اساس نیاز تغییر دهید.
4. بهینهسازی عایقبندی ساختمان
عایقبندی مناسب دیوارها، سقف، و پنجرهها میتواند بار حرارتی ساختمان را کاهش داده و در نتیجه ظرفیت مورد نیاز فن کویل و میزان مصرف انرژی را بهینه کند.
راهکار: پیش از نصب سیستم، بهینهسازی عایقبندی ساختمان را بررسی و اجرا کنید.
5. تنظیمات دمایی بهینه
تنظیمات دمایی فن کویل نقش مهمی در میزان مصرف انرژی دارد. تنظیم دمای بیش از حد سرد در تابستان یا بیش از حد گرم در زمستان میتواند مصرف انرژی را بهطور قابل توجهی افزایش دهد.
راهکار: دما را در محدودهای بهینه تنظیم کنید (مانند 24-26 درجه سانتیگراد برای سرمایش).
6. استفاده از ترموستاتهای هوشمند
ترموستاتهای هوشمند امکان کنترل دقیقتر دما و برنامهریزی زمانبندی برای عملکرد فن کویل را فراهم میکنند. این ابزارها میتوانند با خاموش کردن دستگاه در ساعات غیرضروری، مصرف انرژی را کاهش دهند.
راهکار: از ترموستاتهای قابل برنامهریزی یا هوشمند برای کنترل عملکرد فن کویل استفاده کنید.
7. نگهداری و سرویس منظم
سرویس و نگهداری دورهای فن کویلها، شامل تمیز کردن فیلترها و کویلها، تأثیر قابل توجهی در کاهش مصرف انرژی دارد. فیلترهای کثیف و کویلهای آلوده میتوانند باعث کاهش جریان هوا و افزایش فشار کاری دستگاه شوند.
راهکار: برنامه سرویس دورهای را بهصورت منظم انجام دهید و از عملکرد بهینه سیستم اطمینان حاصل کنید.
8. استفاده از منابع انرژی تجدیدپذیر
اگر امکان دارد، از سیستمهایی که انرژی مورد نیاز آنها از منابع تجدیدپذیر مانند پنلهای خورشیدی تأمین میشود، استفاده کنید. این کار میتواند هزینههای انرژی را بهطور چشمگیری کاهش دهد.
راهکار: پروژههای تهویه مطبوع را با استفاده از انرژیهای تجدیدپذیر طراحی کنید.
9. انتخاب سیستمهای سازگار با محیط زیست
برخی از فن کویلها با طراحیهای پیشرفته و استفاده از مبردهای دوستدار محیط زیست، مصرف انرژی کمتری دارند و تأثیرات زیستمحیطی کمتری ایجاد میکنند.
راهکار: هنگام خرید فن کویل، دستگاههایی با گواهینامههای انرژی سبز یا استانداردهای محیط زیستی را انتخاب کنید.
10. استفاده از سیستمهای کنترل مرکزی
در پروژههای بزرگ، استفاده از سیستمهای مدیریت انرژی و کنترل مرکزی میتواند مصرف انرژی را بهینه کند. این سیستمها امکان کنترل همزمان چندین فن کویل و تطبیق عملکرد آنها با شرایط محیطی را فراهم میکنند.
راهکار: در ساختمانهای بزرگ، از سیستمهای کنترل مرکزی برای مدیریت عملکرد فن کویلها استفاده کنید.
اهمیت نگهداری و سرویس دورهای فن کویلها در عملکرد بهینه
نگهداری و سرویس دورهای فن کویلها نقش حیاتی در حفظ عملکرد بهینه سیستم تهویه مطبوع دارد. عدم توجه به این موضوع میتواند باعث کاهش راندمان، افزایش مصرف انرژی، و حتی خرابیهای پرهزینه شود. در ادامه به اهمیت نگهداری و اقدامات لازم برای سرویس فن کویلها میپردازیم.
1. افزایش عمر مفید دستگاه
فن کویلها با نگهداری منظم عمر طولانیتری خواهند داشت. قطعاتی مانند فن، کویل، و موتور اگر بهموقع سرویس شوند، کمتر دچار فرسایش میشوند.
راهکار: بازدیدهای دورهای برای بررسی سلامت قطعات و تعویض قطعات فرسوده انجام دهید.
2. بهبود کیفیت هوای داخلی
فیلترهای کثیف و کویلهای آلوده میتوانند کیفیت هوای داخلی را کاهش داده و باعث انتشار آلایندهها و گردوغبار شوند. این مسئله میتواند به مشکلات تنفسی یا حساسیت در افراد منجر شود.
راهکار: فیلترها را بهصورت منظم تمیز یا تعویض کنید و کویلها را شستوشو دهید.
3. کاهش مصرف انرژی
فن کویلهای کثیف یا با قطعات معیوب باید برای تأمین سرمایش یا گرمایش مطلوب، بیشتر کار کنند که این مسئله منجر به افزایش مصرف انرژی میشود.
راهکار: اطمینان حاصل کنید که کویلها، فن، و موتور دستگاه بهدرستی عمل میکنند و هیچ مانعی در مسیر جریان هوا وجود ندارد.
4. پیشگیری از خرابیهای ناگهانی
خرابیهای ناگهانی میتواند هزینههای زیادی برای تعمیر یا تعویض قطعات ایجاد کند. با سرویس منظم، مشکلات کوچک شناسایی و قبل از تبدیل شدن به مشکلات بزرگتر برطرف میشوند.
راهکار: برنامهریزی برای بازدیدهای دورهای توسط تکنسینهای مجرب و استفاده از چکلیستهای دقیق برای بررسی وضعیت دستگاه.
5. تضمین عملکرد بهینه در فصلهای اوج مصرف
در فصلهای تابستان و زمستان، نیاز به سرمایش و گرمایش بیشتر است. اگر فن کویل بهخوبی سرویس نشده باشد، ممکن است در این بازهها عملکرد ضعیفی داشته باشد یا حتی از کار بیفتد.
راهکار: قبل از شروع فصلهای اوج مصرف، سرویس کامل سیستم را انجام دهید.
6. کاهش هزینههای عملیاتی
فن کویلهای تمیز و بهخوبی نگهداریشده به انرژی کمتری نیاز دارند و باعث کاهش هزینههای قبوض انرژی میشوند. همچنین هزینههای تعمیرات اضطراری نیز کاهش مییابد.
راهکار: هزینههای جزئی برای سرویس دورهای را بهعنوان سرمایهگذاری برای کاهش هزینههای بلندمدت در نظر بگیرید.
7. رعایت استانداردهای بهداشتی و ایمنی
در فضاهایی مانند بیمارستانها، هتلها، و مراکز آموزشی، استانداردهای بهداشتی برای کیفیت هوا اهمیت زیادی دارند. نگهداری منظم فن کویلها کمک میکند این استانداردها رعایت شود.
راهکار: بهصورت دورهای وضعیت دستگاهها را بررسی کنید و از رعایت استانداردهای لازم اطمینان حاصل کنید.
اقدامات اصلی در سرویس فن کویلها
- تمیز کردن فیلترها: فیلترها باید بهصورت منظم تمیز یا تعویض شوند.
- بررسی کویلها: شستوشوی کویلها برای حذف رسوبات و گردوغبار.
- بازرسی موتور و فن: اطمینان از عملکرد صحیح موتور و بالانس بودن فن.
- بررسی اتصالات: کنترل وضعیت لولهها و کانکشنها برای جلوگیری از نشتی.
- بررسی سیستم کنترل: اطمینان از صحت عملکرد ترموستات و سایر کنترلها.
روند انتخاب بهترین مدل فن کویل برای پروژههای خاص
انتخاب مناسبترین مدل فن کویل برای پروژههای خاص نیازمند بررسی دقیق مشخصات فنی، نیازهای پروژه، و شرایط محیطی است. در پروژههای تهویه مطبوع، انتخاب نادرست میتواند به کاهش راندمان، افزایش هزینهها، یا عدم راحتی کاربران منجر شود. در ادامه، مراحل کلیدی برای انتخاب بهترین مدل فن کویل را بررسی میکنیم.
1. تعیین نیازهای پروژه
پیش از انتخاب مدل، باید به نیازهای خاص پروژه توجه کرد. برخی از این نیازها عبارتند از:
- نوع کاربری فضا (مسکونی، تجاری، صنعتی).
- میزان بار حرارتی و برودتی مورد نیاز.
- سطح صدای قابلقبول در محیط.
- محدودیتهای فیزیکی مانند ابعاد و فضای نصب.
راهکار: مشخصات پروژه را بهطور دقیق و بر اساس استانداردهای طراحی جمعآوری کنید.
2. انتخاب نوع مناسب فن کویل
فن کویلها در انواع مختلفی مانند دیواری، سقفی، زمینی، کانالی، و کاستی تولید میشوند. انتخاب نوع مناسب باید بر اساس نیازهای پروژه و معماری فضا انجام شود:
- دیواری: مناسب برای فضاهای کوچک و مسکونی.
- سقفی توکار: مناسب برای فضاهایی با طراحی مدرن و نیاز به پنهان بودن تجهیزات.
- زمینی: مناسب برای فضاهایی که دسترسی به سقف محدود است.
- کانالی: برای پروژههایی با نیاز به توزیع هوا در چندین اتاق.
راهکار: با توجه به ابعاد، کاربری، و ظاهر فضا، نوع مناسب فن کویل را انتخاب کنید.
3. بررسی ظرفیت سرمایشی و گرمایشی
ظرفیت سرمایشی و گرمایشی فن کویل باید با بار حرارتی و برودتی فضا هماهنگ باشد. انتخاب ظرفیتی که با نیاز واقعی مطابقت نداشته باشد، منجر به کاهش راندمان یا افزایش مصرف انرژی میشود.
راهکار: محاسبات دقیق بار حرارتی و برودتی انجام دهید و دستگاهی با ظرفیت مناسب انتخاب کنید.
4. توجه به راندمان انرژی
راندمان انرژی فن کویل تأثیر مستقیمی بر هزینههای عملیاتی دارد. مدلهایی با راندمان بالاتر ممکن است هزینه اولیه بیشتری داشته باشند اما در طول زمان صرفهجویی قابلتوجهی ایجاد میکنند.
راهکار: دستگاههایی با برچسبهای انرژی کارآمد و تکنولوژیهای پیشرفته مانند فنهای EC انتخاب کنید.
5. بررسی سطح صدای دستگاه
سطح صدای فن کویل در فضاهایی مانند دفاتر، بیمارستانها، یا هتلها اهمیت زیادی دارد. دستگاههایی با سطح صدای کمتر معمولاً راحتی بیشتری برای کاربران فراهم میکنند.
راهکار: مدلهایی با سطح صدای پایینتر برای فضاهایی که نیاز به سکوت دارند انتخاب کنید.
6. ارزیابی شرایط نصب و نگهداری
نصب و نگهداری آسان از جمله عواملی است که باید در انتخاب مدل فن کویل در نظر گرفته شود. دستگاههایی که به نگهداری کمتری نیاز دارند یا قطعات آنها بهراحتی قابل دسترس است، گزینههای بهتری هستند.
راهکار: مدلهایی را انتخاب کنید که دارای طراحی کاربرپسند و ساده برای نصب و سرویس باشند.
7. بررسی هزینههای کلی
هزینههای انتخاب فن کویل فقط به قیمت خرید محدود نمیشود؛ هزینههای نصب، انرژی، و نگهداری نیز باید در نظر گرفته شوند. انتخاب مدل ارزانتر ممکن است در بلندمدت هزینه بیشتری به همراه داشته باشد.
راهکار: علاوه بر قیمت اولیه، هزینههای عملیاتی و نگهداری را نیز در تحلیل اقتصادی لحاظ کنید.
8. انتخاب برندهای معتبر
برندهای معتبر معمولاً کیفیت ساخت بهتری دارند و خدمات پس از فروش مناسبی ارائه میدهند. انتخاب برندهای شناختهشده میتواند ریسک خرابی یا مشکلات فنی را کاهش دهد.
راهکار: از برندهایی با سابقه معتبر و پشتیبانی قوی استفاده کنید.
9. مشورت با متخصصان
برای پروژههای بزرگ یا پیچیده، مشاوره با متخصصان تهویه مطبوع میتواند از انتخاب نادرست جلوگیری کند. متخصصان میتوانند با بررسی تمامی عوامل، بهترین گزینه را پیشنهاد دهند.
راهکار: برای پروژههای مهم از کارشناسان مجرب مشورت بگیرید.

